Le dernier champ présent dans la colonne abscisse ne peut pas être invisible sinon il est impossible de valider la création du rapport.
Il est possible d'avoir plusieurs champs visibles en abscisse.
Le mode drill est activable seulement si deux champs ou plus sont visibles dans la section abscisse. Le drill ne s'applique que sur les champs qui ne sont pas en dernière position.
Une seule série peut être visible. Rendre une série visible masque toutes les autres automatiquement.
Si la série visible n'est pas en dernière position, il est impossible de valider la création du rapport.
Le champ inséré dans catégorie permettra de définir les sections de votre anneau ou camembert.
Plusieurs champs peuvent être insérés dans la section afin d'effectuer un drill. Le premier champ dans la liste catégorie est le champ qui s'affichera à l'ouverture de votre rapport. En cliquant sur une section vous effectuez un drill sur le champ suivant.
Le nombre de drill n'est pas limité.
Le champ inséré dans catégorie permet de définir les compartiments du rapport.
Plusieurs champs peuvent être insérés dans cette section afin d'effectuer un drill.
Le nombre de drill n'est pas limité.
Le champ inséré dans plage de valeurs permet de définir les valeurs en ordonnées du rapport.
Plusieurs champs peuvent être insérés dans cette section afin d'effectuer un drill.
Le nombre de drill n'est pas limité.
La première valeur du champ de répartition est affichée à gauche du graphique et toutes les autres à droite du graphique. Le tri personnalisé peut être utilisé pour mettre les valeurs dans l’ordre souhaité.
Plusieurs champs peuvent être insérés dans cette section, cependant un seul critère de répartition peut être visible. Rendre un champ visible masque les autres.
Le champ inséré dans couleur correspond à la catégorie des bulles par couleur, et est représentée dans la légende du graphique.
Ce champ est facultatif.
Le nombre de valeurs dans le champ information correspond au nombre de bulles ou points qui seront affichées dans le graphique.
Ce champ est facultatif et le drill y est possible.
Ce type de rapport, utilisable dans MyReport Page, permet une visualisation précise des variations de données entre deux périodes définies. Par exemple, l'analyse des hausses et baisses (variations) entre deux totaux (dimensions).
La dimension est présentée sur l’axe X et représente le total de tous les éléments de la variation sous la forme d’histogrammes. Ce champ est obligatoire.
Dans un tableau croisé la dimension correspond à la colonne.
La variation est présentée sur l’axe X, la variation correspond à la différence de valeurs entre deux dimensions. Ce champ est obligatoire.
Dans un tableau croisé la variation correspond à la ligne.
Les options relatives aux infobulles apparaissent lorsque la souris survole les différentes valeurs du graphique. Elles se présentent sous la forme d'une pop-up
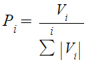
Avec Pi le pourcentage de la valeur i par rapport à l'ensemble des valeurs dans la série, Vi la valeur i.
L'infobulle affiche toujours le pourcentage dans les graphique suivants :
- Histogrammes empilés / empilés 100%
- Histobarres empilés / empilés 100%
- Courbes empilées / empilées 100%
- Aires empilées / empilées 100%
- Camemberts / Anneaux
- Compartimentés
Il est possible de définir les options d'apparences ci-dessous :
Couleurs du graphique (cf. la section intitulée « Couleurs du graphique »)
- Fonctionnement spécifique pour les rapports Waterfall (cf. la section intitulée « Couleurs du graphique pour les rapports "Waterfall" »)
- Etiquettes (cf. la section intitulée « Etiquettes »)
- Légende (cf. la section intitulée « Légende »)
- Valeur Cible (cf. la section intitulée « Valeur Cible »)
- Courbe (cf. la section intitulée « Courbe »)
- Axe des abscisses (cf. la section intitulée « Axe des abscisses »)
- Axe des ordonnées (cf. la section intitulée « Axe des ordonnées »)
Important
Les options d'apparence disponibles dépendent du type de rapport.


